NASET ADHD SERIES
Leslie A. Mathews, MA.Ed.
University of Oklahoma
Kimberly J. Osmani, M. Ed.
University of Oklahoma
James E. Martin, Ph.D.
University of Oklahoma
This issue of NASET’s ADHD series is taken from the Fall 2020 edition of the Journal of the American Academy of Special Education Professionals (JAASEP). Research demonstrates students with attention-deficit hyperactivity disorder (ADHD) and other attention difficulties benefit from using tools to expend energy in positive, socially acceptable means while not distracting others. Tactile fidgets may assist with self-regulated behaviors. This study examined the effectiveness of using hand and foot fidgets to increase the focused instructional attention of four elementary students with ADHD. All four participants selected and used their preferred fidget appropriately as directed. ABAB withdrawal design results indicated immediate level and trend change with a 45-55% overall attention gain. Results and implications for future research are discussed.
Abstract
Research demonstrates students with attention-deficit hyperactivity disorder (ADHD) and other attention difficulties benefit from using tools to expend energy in positive, socially acceptable means while not distracting others. Tactile fidgets may assist with self-regulated behaviors. This study examined the effectiveness of using hand and foot fidgets to increase the focused instructional attention of four elementary students with ADHD. All four participants selected and used their preferred fidget appropriately as directed. ABAB withdrawal design results indicated immediate level and trend change with a 45-55% overall attention gain. Results and implications for future research are discussed.
Keywords: attention, focus, fidgets, ADHD, elementary students
Examining the Effectiveness of Fidgets on Attention of Elementary Students with ADHD
Inattentive, impulsive and overactive behaviors often describe some students that have been diagnosed with attention-deficit hyperactivity disorder (ADHD) (American Psychiatric Association, 2013). Children with ADHD frequently display difficulty in sustaining attention, self-regulation, and hyperactivity (Fedewa & Erwin, 2011). Students diagnosed with ADHD often struggle in school settings where the environment requires attending to instruction, following directions, staying organized, and completing tasks (Prater, 2007). ADHD may affect intellectual functioning and memory which can display itself in underachievement in academic performance, increased grade retention, and persistent behavioral problems (Loe & Feldman, 2007).
ADHD has the diagnostic criteria of exhibiting “a persistent pattern of inattention and/or hyperactivity-impulsivity that interferes with functioning or development” (Centers for Disease Control and Prevention, 2017, DSM-5 Criteria for ADHD, para. 1). The prevalence of children and adolescents between the ages of 4 and 17 receiving a diagnosis of ADHD by a healthcare provider in the United States has been reported by Visser et al. (2014) as approximately 11%. Similarly, Pastor (2015) reported increasing trends in the diagnosis of ADHD by healthcare providers as reported by parents from 7% (1997-1999) to 10.2% (2012-2014) for those between the ages of 5 and 17. Impulsive and uncontrolled behaviors often distract others from instruction as the hyperactivity is difficult to ignore (Stalvey & Brasell, 2006). Lack of academic success and poor educational outcomes for students with ADHD begin early and persist throughout life (Loe & Feldman, 2007). Therefore, we believe it is essential for teachers to be equipped with the knowledge, skills, and abilities to provide interventions to support student success.
ADHD is a neurologically-based disability (American Psychiatric Association, 2013) that requires intervention to support students. Although medication may help some students with ADHD improve their focused attention, it does not have to be the primary tool to increase attention (Centers for Disease Control, 2015). When medication is used, the correct medication can take time to identify and may have negative side effects. The existing research suggests students with ADHD a physical outlet promotes positive educational performance and behavior for students with ADHD or similar characteristics (Thayer, 2017). However, physical activity does not have to be limited to taking place prior to instruction but can also be used during instruction. Thayer (2017) has suggested fidgets, or fine motor tactile stimulation objects (e.g., stress balls, cubes, and spinners), which thousands of children now use as toys due to the popularity at the time this paper was written, may be useful as an inexpensive and enjoyable intervention to enable students with ADHD to self-regulate behaviors.
Antecedent Interventions
For years, researchers have investigated interventions to assist students with ADHD in managing behaviors (Fedewa & Irwin, 2011; Kercood, Grskovic, Lee, & Emmert, 2007; Stalvey & Brasell, 2006). Interventions vary by time of implementation (i.e., a redirection versus a support given in advance) as well as the actual strategy or tool (e.g., visual cues versus fidgets). Antecedent interventions, strategies used in the prevention of unwanted behaviors, such as a daily schedule or checklist, have been found to prevent unwanted behaviors and increase self-control for students in classroom settings (Kern & Clemens, 2007). These interventions implemented prior to an observed off-task behavior (e.g., excessive body movement) could be used to prompt a replacement behavior. Limited information is available regarding studies supporting the effective use of tactile interventions, such as handheld manipulatives (e.g., cubes and stress balls), stability balls, and therapy balls.
Kercood et al. (2007) examined effects of antecedent fine motor tactile stimulation with four 9-year old students with characteristics of ADHD to improve academic performance. Each student used a handheld manipulative during a 20-min independent assignment. Two students demonstrated increased performance of 55% and 45% respectively on academic tasks while using a manipulative, while the other two students’ performance did not significantly change. All students engaged in fewer off-task behaviors (decreases of between 14-21% per student) while utilizing fine motor tactile stimulation during instructional time. As positive as these results are, none of the participants in this study were formally diagnosed as having ADHD, which strengthens the requirement of that as a condition of our study. Additionally, all observations in the Kercood et al. (2007) study took place while students were engaged in paper/pencil tasks, which may have skewed the data as the pencil itself could have served as a tactile object.
Fedewa and Erwin (2011) investigated effects of stability balls (e.g., an inflatable fitness ball designed for balance and strengthening) on in-seat and on-task behavior for students with ADHD. They selected eight students—five with an ADHD diagnosis and three with behavioral concerns consistent with an ADHD diagnosis. Each student in the class, including those not in the study, was provided with a stability ball instead of a standard class chair. While using the stability balls, students demonstrated a statistically significant improvement in on-task (i.e., 94%) and in-seat behavior (i.e., 80%).
Another study including kinesthetic strategies used therapy balls. Schilling, Washington, Billingsley, and Dietz (2003) found therapy balls (i.e., inflatable elastic ball) as classroom seats increased in-seat behavior of all three of the students with ADHD; however, results were reported in generalized terms without mentioning statistical significance. Following the study, participating teachers continued to use the therapy balls for all classroom students. Goodmon, Leverett, Rover, Hillard, Tedder, and Rakes (2014) also investigated the effects of therapy balls on classroom behavior of students with ADHD and dyslexia. Their focus was on the increase in desirable behaviors and decrease in undesirable behaviors of 24 fifth-grade students. Desirable behaviors included looking at the teacher, asking related questions, staying in seat, and keeping hands to self. Undesirable behaviors consisted of fidgeting, getting out of seat, talking off topic, and looking away from teacher or materials. The authors found undesired behavior frequency decreased between baseline and intervention in both a control and intervention class. However, the intervention classroom demonstrated statistically significant decreases in specific undesirable behaviors including looking away from teacher and fidgeting (i.e., Cohen’s d effect size values ranging from .64 medium to 4.95 large). Significant increases in desirable behaviors (i.e., p < .05) were observed in the intervention classroom. After the study, students indicated they enjoyed therapy balls more than classroom seats and said they increased academic focus.
The effects of using stress balls, or handheld soft toys manipulated by the fingers to relieve stress, was investigated by Stalvey and Brasell (2006) to reduce distracting behaviors in a sixth grade language arts class. Of the 29 students in the study, several exhibited attention difficulties, although only one had a formal diagnosis of ADHD. Stalvey and Brasell provided a variety of stress balls to all students and allowed them to choose the one they preferred. Results demonstrated a mean decrease from 3.4 to 0 during instruction and a mean decrease from 2.5 to 0.9 during independent practice. Of the 29 participants, 19 reported feeling more calm and focused on writing when using the balls. The procedures Stalvey and Brasell (2006) used in their study (which produced positive results) support our use of similar procedures in providing choice of fidgets to the students.
The current literature demonstrates the effectiveness of stability balls, stress balls, therapy balls, and other handheld manipulatives to improve the attention of students with ADHD, which, ultimately should positively impact appropriate behaviors and academic performance (Goodmon et al., 2014). The purpose of this paper was to expand upon current research by studying hand and foot fidgets which are believed to be inexpensive, easy to acquire, and minimally disruptive (The Therapy Shoppe, 2017). Specifically, the authors wanted to determine if the use of the hand and foot fidget would increase focused attention during academic instruction in the general education classrooms in four elementary students with ADHD.
Method
Participants
As depicted in Table 1, we recruited four participants, three males and one female ranging in age from 5 to 10 years old, from a rural public elementary school in a southwestern state. The participating students met the following inclusion criteria: (a) current diagnosis of ADHD, (b) receiving special education services under an individualized education program (IEP), (c) current demonstration of off-task and inattentive classroom behavior as indicated by the special and general education teachers, (d) attending the same elementary school, (e) receiving instruction in both the special and general education settings, and (f) receiving instruction from the same special education teacher for reading. Additionally, all participants required repeated verbal reminders and/or prompts from the special and general education teachers to improve attention. Prior to the study, participants were recruited using a university Institutional Review Board (IRB) approved script, parent consent form, and student assent form. All participants were assigned pseudonyms for confidentiality.
Table 1
Participant Information
|
Name |
Age |
Grade |
Ethnicity |
Primary Disability |
ADHD Medication |
Preferred Fidget |
|
Mason |
5 |
K |
Caucasian |
ADHD |
Yes |
Foot |
|
Gerry |
8 |
2 |
Caucasian |
ADHD |
No |
Hand |
|
Cameron |
8 |
2 |
Caucasian |
ADHD |
Yes |
Hand |
|
Korey |
10 |
4 |
Caucasian |
ADHD |
No |
Hand |
Settings and Participants
After receiving university IRB and school district approval, all activities took place at the school, which served approximately 461 pre-kindergarten through eighth grade students, 65 (about 14%) of which receive special education and related services. Twenty-three percent of the school population is eligible for free and reduced lunch. The district ethnic diversity is Caucasian (76%), Native American (15%), Hispanic (5%), Asian (3%), and Black (2%). Participant observations were conducted during regularly scheduled instruction in the general education kindergarten (Mason), second grade (Gerry and Cameron), and fourth grade (Korey). Each participant had a different general education teacher with varying classroom configurations (e.g., rows of desks versus u-shaped desk formation) and schedules. The observations in general education environments varied based on participant and daily classroom schedules.
Mason. A 5-year old male in kindergarten, Mason received special education services for reading and respite. In a classroom of 25 students sitting at tables in groups of four, Mason sat near the center of the room facing the white board. The classroom walls had lockers, cabinets, brightly colored educational materials and decorations, and a white board. The teacher facilitated small group and independent activities while moving from table to table.
Gerry. An 8-year old male in second grade, Gerry received special education and related services for reading, writing, math, speech therapy, occupational therapy (OT), and physical therapy (PT). In a crowded classroom of 23 students with desks situated in rows, Gerry was seated in the back row facing the front of the room. Classroom space was tight due to student desks, teacher desk, small group table, and student cubbies/storage. The teacher facilitated instruction from the front of the room for whole group activities and from the small group table during centers.
Cameron. An 8-year male in second grade, Cameron received special education and related services for reading, OT, and speech therapy. Cameron was seated near the back close to the door. A wall of windows was opposite the doors, cubbies lined one wall, and the chalkboard was in the front of the room. The teacher facilitated group instruction from the front of the room.
Korey. A 10-year old female, Korey rotated to four departmentalized fourth grade classrooms (reading, math, science, and social studies) while also receiving special education and related services for reading, math, writing, and speech therapy. Her general education classes averaged about 20 students each where her desk was always located in the middle of the classroom. In the reading and math classrooms, individual desks were in rows facing the front of the room, while student desks were organized into small groups or a u-shape to promote collaboration in science and social studies. Instruction in each of these classrooms was delivered to the whole group from the front of the room.
Materials
Two fidgets were used in this study. One fidget, the NewCool© Fidget (2017), was a handheld tube-shaped manipulative made of nylon netting with an enclosed marble which cost $8.99 for a box of 12. The design enables children to move the enclosed marble within the soft enclosure. Each is approximately 6 X 1.5 inches and weighs 2 ounces. This fidget can be viewed for purchase at this website (https://www.amazon.com/NewCool-Strong-Fidget-Stress- Relieve/dp/B01M3X1UEL/ref=sr_1_5?m=A3NJOC9SYHDU6K&s=merchant-%20items&ie=UTF8&qid=1501719868&sr=1-5). The second fidget, Fidgeting Foot BandTM, consists of a durable rubber band approximately 1.5 inches wide at a cost of $3.99 per band. The band wraps around the front legs of a chair and is designed to allow students to push, pull, or bounce the band with one or both feet. The foot fidget can be viewed for purchase at this website (https://www.therapyshoppe.com/category/P2875-fidgeting-foot-band-xt-classroom-fidget-toys-sensory-focus-tools-foot-fidget-for-feet-band). Additional study materials included (a) an instructional fidelity checklist, (b) the Repeat Timer PRO (2012) app for iPhones, and (c) a momentary time sampling data collection form.
Design
To control threats to the internal validity of this single-case study, an ABAB withdrawal design was used (Gast & Ledford, 2014). Baseline data (A) were collected in each participant’s general education classroom through repeated observations until a stable baseline appeared. Following baseline data collection, the students were instructed in the special education classroom on how to properly use the hand and foot fidget. The intervention condition (B) represents participants’ use of their preferred fidgets in their general education classroom. Baseline data were then collected in the withdrawal condition (A) when we removed the fidgets. The second intervention phase (B) consisted of reintroduction of the participants’ preferred fidgets. Following criteria established by Horner, Carr, Halle, McGee, Odom, and Wolery (2005), a minimum of five data points were collected constituting a predictable pattern per participant. Results were visually analyzed for level and trend changes using guidelines developed by Gast and Ledford (2014).
Dependent Measure
Percent of 10-sec intervals of focused attention served as the dependent measure. Focused attention was operationally defined as (a) keeping eyes on instructional material or teacher, (b) keeping hands/feet to self, (c) talking appropriately on topic, (d) raising hand, (e) asking related questions, (f) not complaining, (g) remaining seated, and (h) participating in choral responses.
Interobserver Agreement
The overall average interobserver agreement (IOA) of the dependent measure equaled 90% with a range of 85% to 93%. We collected IOA data in six sessions—three times during baseline and three times during use of fidgets. We simultaneously watched and recorded 10-sec momentary time sampled behavior using a data collection sheet and Repeat Timer PRO (2012) app. When observing in person, data was collected independently using an iPhone with the timer set in the Repeat Timer PRO app. We shared a set of ear buds to collect data simultaneously upon hearing the beep each 10-sec. When the IOA observation was taken virtually, the onsite researcher opened a video conferencing platform on an onsite iPad which gave the offsite researcher a full view of the participant. The onsite researcher placed the Repeat Pro Timer app in front of the iPad camera, indicating to the remote researcher when it was time to push start to ensure they began and ended their 10-sec interval data collection simultaneously. The point-by-point agreement ratio (agreements divided by agreements plus disagreements and multiplied by 100) was used to calculate IOA (Kazdin, 1982).
IOA ranged from 85% (low) for Gerry to 93% (high) for Cameron. The overall IOA was conducted over 24% of the data points collected (i.e., Mason 16%, Gerry 48%, Cameron 17%, and Korey 22%), and achieved agreement of 90% to ensure consensus in definition of observed behavior and accurate data collection (Gast & Ledford, 2014).
Procedures
Data Collection
During baseline and intervention, all students were observed in their general education classrooms during academic instruction across all four phases (baseline—no fidgets, intervention—first use of fidgets, baseline—removal of fidgets, intervention—second use of fidgets). To capture participant attention across the day, observation times varied based on student and teacher instructional schedules and activities. We followed recommendations by Kercood et al. (2007) and observed students during a variety of classroom activities (i.e., lecture, test-taking, independent work, group work). Given the nature of ADHD, and how it manifests in off-task behavior, we determined varying the environment, time of day, and instructional activity in baseline and intervention conditions would provide more objective data. We collected data using a momentary time sampling chart. The Repeat Timer PRO (2012) app with a looping function was used to alert us to look up at participants every ten secs and document focused attention. During the remaining seconds until the next beep, we looked at our recording form.
During each observation, we quietly entered the classroom, then set up a place to take data where we could see the student clearly but create minimal distraction. Due to this inevitable disruption, we would wait for up to 5 mins for the student to settle back into a typical work habit before gathering data. Data collection sessions ranged from 9 to 20-mins of ten intervals of 10-sec each for each participant. Executive decisions were made regarding when to observe students and collect data to ensure instruction was taking place or student-level work (independent or group) was occurring during observations. In one instance, during a scheduled observation time, a class was watching a movie, so observations were rescheduled. Additionally, there were times, such as classroom transition times (i.e., students getting up to turn in work), when data collection would be temporarily suspended.
Baseline
Data for each participant were collected according to each of their school schedules and assigned instructional time in the general education classroom. Teachers were asked to operate under “business as usual” conditions during observations, which would include following typical daily schedules, routines, expectations, and levels of support. For example, in one second grade classroom, the teacher stands behind her podium as she addresses the class and calls on students in order by row so students know when their turn is coming. The expectation during observations is that she would continue in typical fashion. We collected baseline data until each participant reached a stable baseline. Students had given assent prior to baseline data collection; therefore, each participant was aware we were measuring focused attention.
Instruction in Using Fidgets
Once a stable baseline of behavior was established for each participant, instruction on the use of the fidgets occurred in student pairs (Korey and Mason, Cameron and Gerry) on two separate days. Each pair received 20 mins of instruction on how to use the hand and foot fidgets. We described each fidget as a tool, much like a pencil, and not a toy and discussed how fidgets help students become better at listening, calming down, focusing attention in class, and how they can be used with one or two hands/feet. We described the following fidget rules: (a) fidgets must only be used to enhance focus, (b) fidgets must be used as instructed and for the intended purpose, (c) fidgets must not distract others, and, (d) fidgets must remain silent. Next, we modeled correct use of the hand fidget, gave each student a hand fidget to hold and manipulate, and demonstrated examples of correct and incorrect hand fidget use. Prompts to encourage proper fidget use included a verbal prompt and reminder of how to use the fidget with modeling, followed by hand-over-hand modeling. Appropriate task-specific praise or visual cue (e.g., verbal encouragement or a thumbs up from teacher) was offered when the participant used the tool appropriately. Participants were verbally reminded by name when not using the tool appropriately, followed by instruction for the participant to set the fidget on the desk for two minutes. Participants picked up the fidgets again with a brief verbal reminder on appropriate use.
Participants chose their preferred fidget to use during each intervention observation. We repeated the above process with the foot fidget. Three of the four participants chose the hand fidget as a preferred tool, while one chose the foot fidget. Participants were able to change fidgets if desired; however, three of the four participants always used the initial fidget of their choice (i.e., hand fidget), and Mason changed fidgets but returned to original choice (i.e., foot fidget).
Use of Fidgets
Once students chose their fidget, we reminded each individual of the specific rules for proper use of fidgets. If students used fidgets inappropriately, we used the established sequence of least to most prompts to correct student use of the fidgets. At the end of about half of the fidget use sessions, we verbally praised students on their appropriate fidget use.
Instructional and Student Use Fidelity
Instructional fidelity consists of two phases (a) teaching students to use fidgets, and (b) student use of fidgets. Additionally, we followed the data collection procedures for both the hand and foot fidgets.
Teaching Students to Use Fidgets.
Our fidelity checklist titled Instruction on How to Use Hand Fidget and Foot Fidget included 36 sequential instructional steps. Beside each step, a level of implementation rating scale marked zero, one, or two indicated the quality of instruction with a score of two indicating highest level of implementation. A third-party observer watched the 36 steps being taught to the students and used the level of implementation rating scale to determine the level of implementation for each step. All steps were implemented correctly with an overall quality implementation score of 100%.
Results
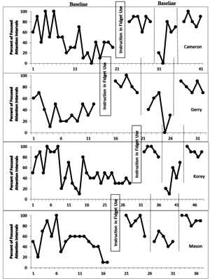
During data collection, at the end of each 10-sec interval, we recorded data on the primary dependent measure—focused attention—and observed students’ use of the fidget based upon the already described use of fidget rules. With one exception, students used fidgets appropriately at the end each 10-sec observation interval, which resulted in a 99% correct fidget use. Students used their fidgets 100% of the observed intervals.
Each point on the graphs in Figure 1 represents data from ten, 10-sec observations of students during academic instruction in general education classrooms. We collected baseline data until stable or decreasing patterns were established. Immediately following instruction on the use of each fidget, level changes occurred for all participants with increases of 80% to 100%, which stayed higher than baseline even as performance varied. During return to baseline, all participants demonstrated a drop in performance, yet slightly higher than original baseline levels. Upon reintroduction of the fidgets, students’ focused attention increased and remained high. The sequential use of fidgets, withdrawal, and use again clearly established a functional relationship between use of the fidgets and increases in the dependent measure.
Cameron
During baseline, Cameron’s focused attention was variable; therefore, we continued to take data until it stabilized, typically ranging between 30 to 40%. A noticeable level change and an increasing trend line resulted immediately following introduction of the fidget. Except for the fourth intervention data point, which dropped to 60%, Cameron’s attention remained between 80% and 90%. Return to baseline resulted in an immediate drop below initial baseline levels, followed by a sharp increase to near intervention levels and remained at this level for the rest of the withdrawal phase. Re-introduction of the fidget resulted in an increasing trend line to 100%, which then stabilized at an intervention level between 80% and 90%. We were not concerned with the unexplained increase at the end of withdrawal phase due to the overall trend of low attention during baseline and high attention during intervention.
Gerry
During the initial baseline collection, Gerry’s focused attention was inconsistent; therefore, we returned for a second baseline collection which stabilized between 30 to 50%. A noticeable level change and an increasing trend line resulted immediately following introduction of the fidget. Focused attention during the first intervention remained between 70% and 100%. The withdrawal phase resulted in an immediate drop of performance with a slow increase including one overlapping data point, followed by a sharp decrease at the fourth data point to below initial baseline levels. Re-introduction of the fidget resulted in an increasing trend line to 90%, which then stabilized around 70%. The data collection for Gerry represents experimental control with reservation due to trends in initial baseline and intervention phases.
Korey
During baseline, Korey’s focused attention was erratic over several sessions resulting in collecting baseline data in four separate sessions. Her focused attention became stable at 30% with the exception of the fourth data point at 40%. A noticeable level change and an increasing trend line resulted immediately following introduction of the fidget. Focused attention during the first intervention remained between 90% and 100%. Return to baseline resulted in an immediate drop of performance with an erratic upward pattern increase to 70%. Re-introduction of the fidget resulted in a stabilized trend line around 90%.
Mason
During baseline, Mason’s focused attention varied resulting in collecting data over three separate sessions. Upon the third session, his attention remained stable and ranged between 40 to 50%, with a sharp decline at the fourth and fifth data point dropping to 10%. A noticeable level change and an increasing trend line resulted immediately following introduction of the fidget. Except for the fifth intervention data point, which dropped to 60%, Mason’s attention remained between 80% and 100%. Return to baseline resulted in a drop of performance below intervention level, followed by a stable trend line around 50%. Re-introduction of the fidget resulted in an immediate increase in trend line to 100%, which stabilized at an intervention level around 90%.
Figure 1. Fidget Study Baseline and Intervention Data

Discussion
The focused attention for all participants increased with the intervention of the fidgets. All use of fidgets intervention phases showed an increase in focused attention over baseline percentages. Marked drops in attention during intervention for Mason and Cameron were due to external factors, such as classroom disruptions; while, for Korey and Cameron, sharp increases in attention during baseline were caused by individual instruction or proximity of teacher to the participant.
The ABAB withdrawal design used in this study demonstrated a functional relation between independent and dependent variables in that participant behavior (i.e., focused attention) changed when fidgets were introduced, reversed when fidgets were taken away, and improved when fidgets were reintroduced. Providing participants with two opportunities to use the intervention strengthened the internal validity of the findings. All participants had either high or inconsistent focused attention rates when data collection began. Over time, focused attention decreased and stabilized at a level that was more representative of typical behavior.
The results from this study align with those of other researchers who explored using tactile stimulation to increase focused attention (Goodmon et al., 2014; Schilling et al., 2003). Similar to Goodmon, et al. (2014) we observed more desired behaviors (e.g., eyes on teacher) through the use of tactile stimulation objects. Findings are consistent with additional previous research showing benefits from the use of a physical manipulative in the classroom for children with attention issues.
All participants fully engaged in using a fidget when made available to them during intervention and followed instructions for correct usage, with one exception that resulted in a verbal reminder. Observational data revealed each of the participants improved their focused attention in the classroom in socially acceptable ways. Improvements were observed across these four participants in behaviors, such as staying in seat, not engaging in off-topic conversations, and attending to instruction through eye contact with teacher or materials.
Currently, minimal research has been conducted on the effectiveness of these specific hand and foot fidgets as interventions for increasing focused attention in class for students with ADHD. Most existing research is on the use of therapy balls or stress balls (Kercood et al., 2007; Stalvey & Brasell, 2006; Fedewa & Erwin, 2011; Goodmon et al., 2014). Findings from this study may expand the current knowledge base on the use of inexpensive hand and foot manipulatives as tools to increase focused attention for students with ADHD or similar characteristics and provide a starting point for a large scale and or a longitudinal study.
Because the study included only four participants, application of knowledge across classes, other individuals and settings can be problematic and generalizing findings to larger groups cannot be done with precision. However, the results provide evidence of the effectiveness of the fidgets for the four participants in the single-case study.
Fidgeting in seats may be distracting to classmates (Stalvey & Brasell, 2006). The use of the hand fidget or chair band foot fidget is socially acceptable and allows students with attention difficulty to expend energy in ways that will not disrupt others (Stalvey & Brasell, 2006). This might explain why parents were eager to consent for their child to participate in the study. During recruitment, parents expressed a desire for their children to have opportunities to help improve attention in class. Parents verbally recognized challenges their children were having and viewed the intervention as having a potential positive impact. Participants were excited to give assent to the study and demonstrated a desire to begin using fidgets in the general education classroom. During the withdrawal phase, all participants requested to use the fidgets even though we did not allow this.
Observations reflect that typical peers did not comment on (nor was attention drawn to) the use of the fidgets. Social validity of the fidgets was demonstrated by unsolicited requests made by two teachers following observation of the participant during an intervention phase. Gerry’s teacher inquired as to if Gerry could continue to use the fidgets at other times due to his increase in attention observed during small group reading instruction. Mason’s teacher inquired about access to the fidgets following the study. Participants verbally expressed a desire to learn to use the fidgets and continued to express excitement over the use of the fidgets throughout the phases. The implementation of fidgets as interventions align with Wolf’s (1978) interpretation of socially appropriate treatments based on ethics, cost, and practicality.
Scheduling onsite observations was a challenge due to conflicting schedules and distance to the school. We observed students in person as much as possible, and, to collect more data, we used a video conferencing platform. This was done twice to collect IOA data simultaneously while one researcher was at the school, and the other was at a remote location. The ability to collect data remotely using a video conferencing platform demonstrated a benefit of modern technology and facilitates research collaboration across long distances.
Limitations and Suggestions for Future Research
The primary limitation of the study is lack of time to comprehensively conduct the study. Study duration from baseline through withdrawal phase was three weeks. Some participants’ last data point rose during baseline; however, since we observed a predictable pattern in their attention, the intervention was introduced due to time constraints. We would have preferred to extend the baseline and intervention phases in the general education classroom for another replication, followed by additional weeks of maintenance. Greater time would have allowed (a) more time for participants to get comfortable using the fidgets, (b) for the novelty of the fidgets to wear off, and (c) for additional data points to be collected. An additional limitation to our study is the lack of participant information.
Although all four participants showed increases in focused attention, caution is necessary in generalizing findings to larger groups due to unique characteristics of each student and the few participants in the single case study. While the hand and foot fidget are commercially available, other items may serve as fidgets for the purposes of focused attention. For example, rubber bands, marbles and other tactile items may be useful for students to manipulate. Future research should investigate methods for focusing attention using everyday items. An additional limitation is lack of diversity in race and ethnicity, which could be studied in the future.
Each observation varied by participant, teacher, and classroom schedule; however, some teachers did not operate as they normally would and changed activities or schedules to meet the perceived needs of the study, which may have affected the participants’ attending behavior. For example, some teachers transitioned to direct instruction from independent assignments upon observation. It was also noted that more individualized attention was given to study participants than what is typical. Changes in participant behavior were observed when teachers provided one-on-one assistance to participants versus when they facilitated whole group instruction.
To encourage the use of hand or foot fidgets, a cost benefit analyses should be conducted to determine if fidgets would improve focused behavior while producing improvements in academic performance or if other tools, such as therapy balls or moving seats, might prove to be more effective to support students with ADHD. Time was insufficient to allow participants to use both fidgets to determine whether one fidget was more effective than the other. Additionally, three of the four participants preferred the hand fidget over the foot fidget, which did not provide an opportunity for us to extensively observe the effect of the lesser chosen fidget. Future research could focus on determining the effectiveness of each fidget on focusing attention.
Future research should be conducted to determine the best way to sustain attention over time. This study allowed participants to use fidgets during intervention. Additional research is needed to determine if the use of fidgets fades over time while focusing attention. Another area to explore is if focused attention could be maintained over time with periodic use of a fidget.
Implications for Practitioners
Using evidence- and research-based interventions for students with ADHD is essential. Practitioners should adhere to this principle while continuing to investigate other ways of supporting students in school. Research has established that providing tactile stimulation for increasing attentive behavior is an evidence-based practice (Fedewa & Erwin, 2011; Stalvey & Brasell, 2006). Given this information and the positive feedback received from the general education teachers in our study, teachers working with students who have attention difficulties have the opportunity to take advantage of the research conducted and findings related to improved attention through the use of tactile objects prior to and/or during instruction. Although the sample size was small in our study, the procedures we used to teach the proper use of the fidgets as something other than a toy are easily replicated in the classroom. Using the hand fidget not only helped one student focus his attention on instruction but it also helped provide him with a more appropriate way to channel his energy without disrupting others and without getting off-task. For all four of the students, they were able to pay more attention to instruction and/or the task at hand while using the fidget of their choice. All four of the students used the fidgets, enjoyed having them in class, and even continue to ask for them well-beyond the conclusion of the study. No teacher reported a distraction or dislike of having the fidgets in class. Based on the preliminary findings of this ABAB withdrawal design study, further research should be conducted on a larger scale to determine the effectiveness of using fidgets during classroom instruction for students with ADHD, or those exhibiting off-task and inattentive behavior.
Conclusion
Using tactile stimulating devices, such as hand and foot fidgets, to help students with ADHD increase focused attention is a promising practice. The present study added to the research base in the area of focused attention and ADHD. Results contribute to an increased understanding of available tools for helping students expend energy in a socially appropriate way in the classroom, identified areas where additional research is needed, and offered recommendations for practitioners wishing to utilize similar fidgets.
References
American Psychiatric Association. (2013). Diagnostic and statistical manual of mental disorders (DSM-5). Washington, D.C.: American Psychiatric Association.
Center for Disease Control and Prevention. (2017). Attention-Deficit/Hyperactivity Disorder.
Fedewa, A. L., & Erwin, H. E. (2011). Stability balls and students with attention and hyperactivity concerns: Implications for on-task and in-seat behavior. American Journal of Occupational Therapy, 65, 393-399.
Gast, D. L., & Ledford, J. R. (Eds.). (2014). Single case research methodology: Applications in special education and behavioral sciences. New York: Routledge.
Goodmon, L. B., Leverett, R., Royer, A., Hillard, G., Tedder, T., & Rakes, L. (2014). The effect of therapy balls on the classroom behavior and learning of children with dyslexia. Journal of Research in Education, 24, 124-145.
Horner, R. H., Carr, E. G., Halle, J., McGee, G., Odom, S., & Wolery, M. (2005). The use of single-subject research to identify evidence-based practice in special education. Exceptional Children, 71, 165-179.
Kazdin, A. E. (1982). Single-case research designs: Methods for clinical and applied settings. New York: Oxford University Press.
Kercood, S., Grskovic, J. A., Lee, D. L., & Emmert, S. (2007). The effects of fine motor movement and tactile stimulation on the math problem solving of students with attention problems. Journal of Behavioral Education, 16, 303-310.
Kern, L., & Clemens, N. H. (2007). Antecedent strategies to promote appropriate classroom behavior. Psychology in the Schools, 44, 65-75. doi:10.1002/pits.20206
Loe, I. M., & Feldman, H. M. (2007). Academic and educational outcomes of children with ADHD. Journal of Pediatric Psychology, 32, 643-654.
NewCool©. (2017). Retrieved from www.amazon.com/NewCool-Strong-Fidget-Stress-Relieve/dp/B01M3X1UEL/ref=sr_1_5
Pastor, P. N. (2015). QuickStats: Percentage of children and adolescents aged 5–17 years with diagnosed Attention-Deficit/Hyperactivity Disorder (ADHD), by race and Hispanic ethnicity — National Health Interview Survey, United States, 1997–2014, Morbidity and Mortality Weekly Report, 64(33), 889-925.
Prater, M. A. (2007). Teaching strategies for students with mild/moderate disabilities. Boston: Allyn & Bacon.
Repeat Timer PRO. (2012). Retrieved from www.repeattimerapp.com
Schilling, D. L., Washington, K., Billingsley, F. F., & Dietz, J. (2003). Classroom seating for children with attention deficit hyperactivity disorder: Therapy balls versus chairs. American Journal of Occupational Therapy, 57, 534-541.
Stalvey, S., & Brasell, H. (2006). Using stress balls to focus the attention of sixth-grade learners. Journal of At-Risk Issues, 12(2), 7-16.
Thayer, K. (2017, May 2). Schools ban fidget toys as classroom distraction. Chicago Tribune. Retrieved from www.chicagotribune.com/news/local/breaking/ct-fidget-toys-school-ban-met-20170429-story.html
The Therapy Shoppe. (2017). Retrieved from www.therapyshoppe.com/category/P2875-fidgeting-foot-band-xt-classroom-fidget-toys-sensory-focus-tools-foot-fidget-for-feet-band
Visser, S. N., Danielson, M. L., Bitsko, R. H., Holbrook, J. R., Kogan, M. D., Ghandour, R. M., … Blumberg, S. J. (2014). Trends in the parent-report of health care provider-diagnosed and medicated attention-deficit/hyperactivity disorder: United States, 2003–2011. Journal of the American Academy of Child and Adolescent Psychiatry, 53, 34–46. doi:10.1016/j.jaac.2013.09.001
Wolf, M. M. (1978). Social validity: The case of subjective measurement or how applied behavior analysis is finding its heart. Journal of Applied Behavior Analysis, 11, 203-214.
About the Authors
Leslie Mathews received a B.S. in Special Education from Union University with teaching endorsements ranging from birth to 12th grade in mild/moderate disabilities. She later pursued her M.A. Ed. in Special Education from the same university where she served as a graduate assistant, adjunct faculty, and then assistant professor. She has 17 years of teaching experience in public and private schools in Kentucky, South Carolina, Tennessee, and Oklahoma where she has taught Pre-kindergarten through 4th grade special education, middle and high school math, and special education pre-service teachers. Currently, Leslie is the Director of Special Services at Grove School in Shawnee, Oklahoma while she pursues her doctorate in Special Education at the University of Oklahoma. Her research interests include evidence-based practices in reading and math, attention-deficit hyperactivity disorder, and special education teacher preparation programs.
Kimberly Osmani received a B. A. and M.Ed. in Special Education from the University of Florida. She began her teaching career as an elementary special education teacher in a K-5 classroom. Upon moving to Oklahoma, Kim earned a second M.Ed. in Educational Administration at the University of Oklahoma while teaching grades 6-12. Upon leaving the classroom, Kim then worked for the Oklahoma State Department of Education, Special Education Services, beginning as a compliance coordinator and ultimately serving as an Associate State Director. Her interest in transition of youth with disabilities began in the classroom, grew in her state level work, and allowed her to transition to serve as the Statewide Transition Coordinator the Oklahoma’s vocational rehabilitation (VR) agency. Kim’s expertise and area of research focus is on the collaboration of agencies, educators, and partners to ensure the transition of students and youth with disabilities to employment and other post-school endeavors. Currently, Kim works for the K. Lisa Yang and Hock E. Tan Institute on Employment and Disability at Cornell University as an Extension Associate working on two federally-funded national centers, while also pursuing her doctorate in Special Education with an emphasis on transition at the University of Oklahoma.
James Martin, Ph.D. Emeritus Zarrow Family Professor, University of Oklahoma, Department of Educational Psychology, founded and directed OU’s Zarrow Center from 2000 through 2018. His professional interests focus upon the transition of youth with disabilities from high school into postsecondary education and the workforce, and facilitating success in high school and postsecondary environments. He examines identifying, assessing, and teaching secondary-aged youth and adults with disabilities generalizable self-determination and other skills that when learned will increase the likelihood of desired educational and employment outcomes. He has had a career-long interest in using the IEP transition planning process as an excellent repeating opportunity to teach students critical self-determination skills, which several studies now verify does indeed happen. Professor Martin has authored several books, numerous chapters for edited books, journal articles, several curriculum lesson packages, and instructional assessments. Most recently he and colleagues co-authored the on-line Transition Assessment and Goal Generator (TAGG) and wrote supporting materials, which a research grant from IES’ National Center on Special Education Research supported.
Appendix A. Interview Questions
1. Thank you for taking the time to participate in an interview today. Can you start by telling me the type of setting and grade level where you teach? For example, do you teach in a self-contained classroom or pull-out students in general education settings for one-on-one services?
2. For how long have you been working in that setting and teaching in general?
3. Thinking back on the professional development sessions in which you participated that centered around self-determination, what lessons or strategies have stayed with you?
4. What does self-determination mean to you?
5. Can you share some examples of how you might create opportunities for your students to practice developing self-determination skills?
6. In creating opportunities for students to practice self-determination skills, what have been some challenges you’ve experienced? Successes?
7. What have your experiences been like with the parents of your students in terms of creating opportunities for practicing self-determination?
8. What advice might you give to other special education professionals if they would like to create opportunities for their students to practice self-determination?

